| 加入收藏 | 学校官网 | 田径运动会 | 站点二维码 【我要留言】 
用户登录

账  号:
密  码:
    
考试练习
在线练习  在线考试
综合搜索
请选择类别
 
章节跳转
最新录入查看更多

首页试题中心第4节 蛋白质是生命活动的主要承担者本章节共 441 题   随机翻题  返回上页
 试题来源:搜集  点击数:198 次  试题题型:单选题

 【第 1394 题】 【题型】:单选题 【章节】:第4节 蛋白质是生命活动的主要承担者  
【特大】 【较大】 【适中】 【较小】 【特小】【显示答案】  【关闭答案】        CLOSE  

 

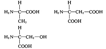
下面是三种化合物的结构式,下列有关三种化合物的叙述中,错误的是(  )

A.三种化合物可以用一个结构通式表示

B.三种化合物的共同点之一是都含有一个氨基、一个羧基

C.三种化合物都不能与双缩脲试剂发生紫色反应

D.三种化合物两两结合形成的物质的游离氨基数相同

题型:单选题 难度值:1 知识点:第4节 蛋白质是生命活动的主要承担者添加时间:2016-08-09
【试题】

ID-1394

下面是三种化合物的结构式,下列有关三种化合物的叙述中,错误的是(  )

A.三种化合物可以用一个结构通式表示

B.三种化合物的共同点之一是都含有一个氨基、一个羧基

C.三种化合物都不能与双缩脲试剂发生紫色反应

D.三种化合物两两结合形成的物质的游离氨基数相同
 
【提示】
您尚未登录,答案及解析不能查看,抱歉!    选择操作: [ 注册 ]  [ 登录 ]
【刷新页面】【加入收藏】【打印此文】 【关闭窗口】            
<<<上题       下题>>>  
>>> 申请友情链接 >>>>
洪江市智慧教育云平台中学生物教学中学生物学生物学教学全国中小学教师继续教育网全国青少年科技创新大赛平台湖南省青少年科技创新大赛平台植物智春晓工作室芙蓉中学

亚雯名师工作室—中学生物 Copyright @ 2025 - 2030 All rights reserved.  Backstage System 
ICP备案:ICP备00000000号 联系人: 电话:0745-7736289 E-MAIL:0745001@163.COM 地址:洪江市芙蓉中学