| 加入收藏 | 学校官网 | 田径运动会 | 站点二维码 【我要留言】 
用户登录

账  号:
密  码:
    

  • 电子邮件:0745001@163.COM
  • 即时通讯:QQ-164247110
  • 联系地址:洪江市芙蓉中学
  • 考试练习
    在线练习  在线考试
    手工出卷  收藏试题
    综合搜索
    请选择类别
     
    章节导航
    单选题  多选题
    判断题  简答题

    精彩试题收藏中……
      试题中心   
      题型:简答题   难度值:1 [0]  知识点:第1节 孟德尔的豌豆杂交实.. 
    【试题】

    1

    限性遗传是指常染色体或性染色体上的基因只在一种性别中表达,而在另一种性别完全不表达的遗传现象。某种蝴蝶的体色受常染色体上的一对等位基因Y(黄色)和y(白色)控制,该种蝴蝶的雌性只有白色而雄性有黄色和白色两种体色。请回答下列问题。
    (1)控制体色的等位基因Y和y的根本区别是________________
    (2)请根据题意写出该蝴蝶种群中雄性个体所有的基因型及表型:_____________________________________________________。
    (3)某生物兴趣小组欲选取一对从未交配过的蝴蝶做杂交实验,使得亲本及后代根据体色就可以直接判断性别。
    ①有同学认为若想满足条件,两个亲本最好是纯合子,其杂交组合为:(♂)________________×(♀)________________,这样做的好处是________________________________
    ②有同学发现亲本也可以存在杂合子,而且马上列举出了杂交组合(♂)________________×(♀)________________来支持此发现,虽然后代的基因型是________________种,但对实验结果无任何影响。

     【第 12355 题】 【题型】:简答题 【章节】:第1节 孟德尔的豌豆杂交实验(一)  
    【特大】 【较大】 【适中】 【较小】 【特小】 【显示答案】  【关闭答案】    ﹤﹤上题    下题﹥﹥      CLOSE  

     

    限性遗传是指常染色体或性染色体上的基因只在一种性别中表达,而在另一种性别完全不表达的遗传现象。某种蝴蝶的体色受常染色体上的一对等位基因Y(黄色)和y(白色)控制,该种蝴蝶的雌性只有白色而雄性有黄色和白色两种体色。请回答下列问题。
    (1)控制体色的等位基因Y和y的根本区别是________________
    (2)请根据题意写出该蝴蝶种群中雄性个体所有的基因型及表型:_____________________________________________________。
    (3)某生物兴趣小组欲选取一对从未交配过的蝴蝶做杂交实验,使得亲本及后代根据体色就可以直接判断性别。
    ①有同学认为若想满足条件,两个亲本最好是纯合子,其杂交组合为:(♂)________________×(♀)________________,这样做的好处是________________________________
    ②有同学发现亲本也可以存在杂合子,而且马上列举出了杂交组合(♂)________________×(♀)________________来支持此发现,虽然后代的基因型是________________种,但对实验结果无任何影响。


     
      题型:简答题   难度值:1 [0]  知识点:第1节 孟德尔的豌豆杂交实.. 
    【试题】

    2

    某雌雄同株植株的雄性不育(不能产生可育花)性状受一组复等位基因控制,其中Ms为显性不育基因,ms为隐性可育基因,Msf为显性恢复可育基因,三者之间的显隐性关系为Msf>Ms>ms,回答下列问题。

    (1)植株甲为雄性不育,植株乙为雄性可育,甲和乙杂交,F1均为雄性可育,F1自交产生的F2中雄性不育占1/8,亲本中植株甲和植株乙的基因型分别为____________,F2的雄性可育植株中纯合子占_______________。

    (2)某混合种植的群体中只有MsfMs和Msms两种基因型,且两种基因型植株数量相等,该群体随机交配一代,后代表型比例为____________
    (3)现有某雄性可育的植株,自交后代均为雄性可育,请设计一次合理的杂交实验判断该可育植株的基因型,写出杂交实验,实验结果和相应的实验结论。________________________

     【第 12354 题】 【题型】:简答题 【章节】:第1节 孟德尔的豌豆杂交实验(一)  
    【特大】 【较大】 【适中】 【较小】 【特小】 【显示答案】  【关闭答案】    ﹤﹤上题    下题﹥﹥      CLOSE  

     

    某雌雄同株植株的雄性不育(不能产生可育花)性状受一组复等位基因控制,其中Ms为显性不育基因,ms为隐性可育基因,Msf为显性恢复可育基因,三者之间的显隐性关系为Msf>Ms>ms,回答下列问题。

    (1)植株甲为雄性不育,植株乙为雄性可育,甲和乙杂交,F1均为雄性可育,F1自交产生的F2中雄性不育占1/8,亲本中植株甲和植株乙的基因型分别为____________,F2的雄性可育植株中纯合子占_______________。

    (2)某混合种植的群体中只有MsfMs和Msms两种基因型,且两种基因型植株数量相等,该群体随机交配一代,后代表型比例为____________
    (3)现有某雄性可育的植株,自交后代均为雄性可育,请设计一次合理的杂交实验判断该可育植株的基因型,写出杂交实验,实验结果和相应的实验结论。________________________

     
      题型:简答题   难度值:1 [0]  知识点:第1节 孟德尔的豌豆杂交实.. 
    【试题】

    3

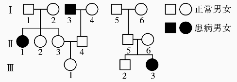
    人类某遗传病受一对基因(T、t)控制。两个家系成员的性状表现如下图

    若Ⅲ1与Ⅲ2生育一个正常女孩,则携带致病基因的概率为_________。

     【第 11857 题】 【题型】:简答题 【章节】:第1节 孟德尔的豌豆杂交实验(一)  
    【特大】 【较大】 【适中】 【较小】 【特小】 【显示答案】  【关闭答案】    ﹤﹤上题    下题﹥﹥      CLOSE  

     

    人类某遗传病受一对基因(T、t)控制。两个家系成员的性状表现如下图

    若Ⅲ1与Ⅲ2生育一个正常女孩,则携带致病基因的概率为_________。

     
      题型:简答题   难度值:1 [0]  知识点:第1节 孟德尔的豌豆杂交实.. 
    【试题】

    4

    果蝇的灰身与黑身为一对相对性状(相关基因用A、a表示),直毛与分叉毛为一对相对性状(相关基因用B、 b表示)。现有两只亲代果蝇杂交,F1的表现型与比例如图所示。请回答下列问题:
    Yangzhong Teaching Studio 
    (1)控制直毛与分叉毛的基因位于__________染色体上,判断的主要依据是_____________________________________________________________。
    (2)若只考虑果蝇的灰身、黑身这对相对性状,让F1中灰身果蝇自由交配得到F2,再用F2中灰身果蝇自由交配得到F3,则F3灰身果蝇中纯合子所占比例为________(用分数表示)。
    (3)果蝇的灰体(E)对黑体(e)为显性(位于常染色体上),纯合灰体果蝇与黑体果蝇杂交,在后代个体中出现一只黑体果蝇,出现该黑体果蝇的原因可能是亲本果蝇在产生配子的过程中发生了基因突变或染色体片段缺失。现有基因型为EE和ee的果蝇可供选择,请完成下列实验步骤及结果预测,以探究其原因(注:一对同源染色体都缺失相同片段时胚胎致死;各基因型配子活力相同)。
    实验步骤:①用该黑体果蝇与基因型为________的果蝇杂交,获得F1;
    ②F1自由交配,观察、统计F2表现型及比例。结果预测:
    Ⅰ.如果F2表现型及比例为灰体∶黑体=__________,则为基因突变;
    Ⅱ.如果F2表现型及比例为灰体∶黑体=__________,则为染色体片段缺失。

     【第 11824 题】 【题型】:简答题 【章节】:第1节 孟德尔的豌豆杂交实验(一)  
    【特大】 【较大】 【适中】 【较小】 【特小】 【显示答案】  【关闭答案】    ﹤﹤上题    下题﹥﹥      CLOSE  

     

    果蝇的灰身与黑身为一对相对性状(相关基因用A、a表示),直毛与分叉毛为一对相对性状(相关基因用B、 b表示)。现有两只亲代果蝇杂交,F1的表现型与比例如图所示。请回答下列问题:

    Yangzhong Teaching Studio 
    (1)控制直毛与分叉毛的基因位于__________染色体上,判断的主要依据是_____________________________________________________________。
    (2)若只考虑果蝇的灰身、黑身这对相对性状,让F1中灰身果蝇自由交配得到F2,再用F2中灰身果蝇自由交配得到F3,则F3灰身果蝇中纯合子所占比例为________(用分数表示)。
    (3)果蝇的灰体(E)对黑体(e)为显性(位于常染色体上),纯合灰体果蝇与黑体果蝇杂交,在后代个体中出现一只黑体果蝇,出现该黑体果蝇的原因可能是亲本果蝇在产生配子的过程中发生了基因突变或染色体片段缺失。现有基因型为EE和ee的果蝇可供选择,请完成下列实验步骤及结果预测,以探究其原因(注:一对同源染色体都缺失相同片段时胚胎致死;各基因型配子活力相同)。
    实验步骤:①用该黑体果蝇与基因型为________的果蝇杂交,获得F1;
    ②F1自由交配,观察、统计F2表现型及比例。结果预测:
    Ⅰ.如果F2表现型及比例为灰体∶黑体=__________,则为基因突变;
    Ⅱ.如果F2表现型及比例为灰体∶黑体=__________,则为染色体片段缺失。

     
      题型:简答题   难度值:1 [0]  知识点:第1节 孟德尔的豌豆杂交实.. 
    【试题】

    5

    现代栽培稻(2n=24)相对普通野生稻丢失了大量优异基因,如抗病、虫、杂草及抗逆基因等。研究人员发现某野生水稻(甲)8号染色体上具有耐冷基因A,4号染色体上有抗稻飞虱基因B,而栽培稻(乙)染色体的相应位置为隐性基因。将甲、乙杂交,F1自交,用某种方法检测F2群体中不同植株的基因型,发现不同基因型个体数如下表:

    Yangzhong Teaching Studio

    (1)对栽培稻乙的基因组进行测序,需要测定___________条染色体上DNA分子的碱基排列顺序。
    (2)依据数据推测,抗稻飞虱性状的遗传____________________(填“符合”或“不符合”)基因的分离定律,判断依据是

    _______________________________________

    (3)重复上述实验发现,F2中基因型为AA、Aa、aa的个体数量比总是接近于1:5:4。研究人员发现F产生的雌配子均正常成活,推测可能是带有______________________基因的花粉成活率很低。请设计杂交实验检验上述推测,并写出支持上述推测的子代性状及比例____________________
    (4)为获取能稳定遗传的抗稻飞虱优良栽培稻,科研人员选取上述实验中F1栽培稻作为亲本进行自交,每一代水稻自交后淘汰不抗飞虱的个体,则子五代中基因型BB个体所占的比例为____________________

     【第 11790 题】 【题型】:简答题 【章节】:第1节 孟德尔的豌豆杂交实验(一)  
    【特大】 【较大】 【适中】 【较小】 【特小】 【显示答案】  【关闭答案】    ﹤﹤上题    下题﹥﹥      CLOSE  

     

    现代栽培稻(2n=24)相对普通野生稻丢失了大量优异基因,如抗病、虫、杂草及抗逆基因等。研究人员发现某野生水稻(甲)8号染色体上具有耐冷基因A,4号染色体上有抗稻飞虱基因B,而栽培稻(乙)染色体的相应位置为隐性基因。将甲、乙杂交,F1自交,用某种方法检测F2群体中不同植株的基因型,发现不同基因型个体数如下表:

    Yangzhong Teaching Studio

    (1)对栽培稻乙的基因组进行测序,需要测定___________条染色体上DNA分子的碱基排列顺序。
    (2)依据数据推测,抗稻飞虱性状的遗传____________________(填“符合”或“不符合”)基因的分离定律,判断依据是

    _______________________________________

    (3)重复上述实验发现,F2中基因型为AA、Aa、aa的个体数量比总是接近于1:5:4。研究人员发现F产生的雌配子均正常成活,推测可能是带有______________________基因的花粉成活率很低。请设计杂交实验检验上述推测,并写出支持上述推测的子代性状及比例____________________
    (4)为获取能稳定遗传的抗稻飞虱优良栽培稻,科研人员选取上述实验中F1栽培稻作为亲本进行自交,每一代水稻自交后淘汰不抗飞虱的个体,则子五代中基因型BB个体所占的比例为____________________

     
    共计:23 条记录 页次:1/5 每页:5 条    1 [2][38 :  
    >>> 申请友情链接 >>>>
    洪江市智慧教育云平台中学生物教学中学生物学生物学教学全国中小学教师继续教育网全国青少年科技创新大赛平台湖南省青少年科技创新大赛平台植物智春晓工作室芙蓉中学

    亚雯名师工作室—中学生物 Copyright @ 2024 - 2029 All rights reserved.  Backstage System 
    ICP备案:ICP备00000000号 联系人: 电话:0745-7736289 E-MAIL:0745001@163.COM 地址:洪江市芙蓉中学