| 加入收藏 | 学校官网 | 田径运动会 | 站点二维码 【我要留言】 
用户登录

账  号:
密  码:
    

  • 电子邮件:0745001@163.COM
  • 即时通讯:QQ-164247110
  • 联系地址:洪江市芙蓉中学
  • 操作列表
    关闭答案    显示答案
    所有试卷    导出试卷
    综合搜索
    请选择类别
     

      试题中心 查看次数 141 次  本卷试题总数 共 12 题 
     第4节 细胞中的糖类和脂质 测试题
     组卷人:杨忠 共 12 题 时量:45分钟 满分:100分      考生姓名:_________ 班级:________
    一、单选题:共有 10 小题,请将唯一正确的选项编号写在答题区域。
    1.

    下列是某生物能进行的糖类物质转变: 淀粉→ 麦芽糖 →葡萄糖→糖元,相关说法不正确的是:

    A.此生物一定是动物,因为能合成糖元    B.淀粉和糖元学科网(www.zxxk.com)--教育资源门户,提供试卷、教案、课件、论文、素材及各类教学资源下载,还有大量而丰富的教学相关资讯!,都属于多糖

    C.此生物一定是植物,因为能合成淀粉     D.麦芽糖为二糖,葡萄糖为单糖

     【第 1 题】 【题型】:单选题 【章节】:第3节 细胞中的糖类和脂质  
    【特大】 【较大】 【适中】 【较小】 【特小】 【显示答案】  【关闭答案】    ﹤﹤上题    下题﹥﹥      CLOSE  

     

    下列是某生物能进行的糖类物质转变: 淀粉→ 麦芽糖 →葡萄糖→糖元,相关说法不正确的是:

    A.此生物一定是动物,因为能合成糖元    B.淀粉和糖元学科网(www.zxxk.com)--教育资源门户,提供试卷、教案、课件、论文、素材及各类教学资源下载,还有大量而丰富的教学相关资讯!,都属于多糖

    C.此生物一定是植物,因为能合成淀粉     D.麦芽糖为二糖,葡萄糖为单糖

    2.

    胆固醇和磷脂均具有的生物学功能是  (  )

    A.生物膜的重要成分

    B.保温作用

    C.在人体内参与血液中脂质的运输

    D.细胞内主要的贮能物质

     【第 2 题】 【题型】:单选题 【章节】:第3节 细胞中的糖类和脂质  
    【特大】 【较大】 【适中】 【较小】 【特小】 【显示答案】  【关闭答案】    ﹤﹤上题    下题﹥﹥      CLOSE  

     

    胆固醇和磷脂均具有的生物学功能是  (  )

    A.生物膜的重要成分

    B.保温作用

    C.在人体内参与血液中脂质的运输

    D.细胞内主要的贮能物质

    3.

    下列关于糖类的叙述,正确的是        (  )

    A.核糖存在于RNA分子中

    B.核糖、半乳糖含六个碳原子,属于单糖

    C.糖类是人体的主要储能物质

    D.人体过剩的葡萄糖可以转变成淀粉储存于肝脏或肌肉中

     【第 3 题】 【题型】:单选题 【章节】:第3节 细胞中的糖类和脂质  
    【特大】 【较大】 【适中】 【较小】 【特小】 【显示答案】  【关闭答案】    ﹤﹤上题    下题﹥﹥      CLOSE  

     

    下列关于糖类的叙述,正确的是        (  )

    A.核糖存在于RNA分子中

    B.核糖、半乳糖含六个碳原子,属于单糖

    C.糖类是人体的主要储能物质

    D.人体过剩的葡萄糖可以转变成淀粉储存于肝脏或肌肉中

    4.

    下列选项中,不属于动.植物细胞共有的糖是(    )

    A.葡萄糖     B.淀粉         C.核糖      D.脱氧核糖

     【第 4 题】 【题型】:单选题 【章节】:第3节 细胞中的糖类和脂质  
    【特大】 【较大】 【适中】 【较小】 【特小】 【显示答案】  【关闭答案】    ﹤﹤上题    下题﹥﹥      CLOSE  

     

    下列选项中,不属于动.植物细胞共有的糖是(    )

    A.葡萄糖     B.淀粉         C.核糖      D.脱氧核糖

    5.

    大雁体内储存能量和减少热量散失的物质是

    A .糖原    B.淀粉     C .脂肪    D.纤维素

     【第 5 题】 【题型】:单选题 【章节】:第3节 细胞中的糖类和脂质  
    【特大】 【较大】 【适中】 【较小】 【特小】 【显示答案】  【关闭答案】    ﹤﹤上题    下题﹥﹥      CLOSE  

     

    大雁体内储存能量和减少热量散失的物质是

    A .糖原    B.淀粉     C .脂肪    D.纤维素

    6.

    三类营养物质氧化时释放能量与耗氧量如下表:

    营养

    物质

    体外燃烧释放能量(kJ/g)

    体内氧化释放能量(kJ/g)

    耗氧量(dL/g)

    17

    17

    0.83

    蛋白质

    23.5

    18

    0.95

    脂肪

    39.8

    39.8

    2.03

    据上表内容不能作出的判断是(  )

    A.糖是生命活动的主要能源物质

    B.耗氧量的多少可能与它们含有元素比例不同有关

    C.体内外蛋白质分解释放能量的差异可能是因为分解产物不完全相同

    D.同质量时,脂肪贮存能量最多

     【第 6 题】 【题型】:单选题 【章节】:第3节 细胞中的糖类和脂质  
    【特大】 【较大】 【适中】 【较小】 【特小】 【显示答案】  【关闭答案】    ﹤﹤上题    下题﹥﹥      CLOSE  

     

    三类营养物质氧化时释放能量与耗氧量如下表:

    营养

    物质

    体外燃烧释放能量(kJ/g)

    体内氧化释放能量(kJ/g)

    耗氧量(dL/g)

    17

    17

    0.83

    蛋白质

    23.5

    18

    0.95

    脂肪

    39.8

    39.8

    2.03

    据上表内容不能作出的判断是(  )

    A.糖是生命活动的主要能源物质

    B.耗氧量的多少可能与它们含有元素比例不同有关

    C.体内外蛋白质分解释放能量的差异可能是因为分解产物不完全相同

    D.同质量时,脂肪贮存能量最多

    7.

    下图是油菜种子在发育和萌发过程中,糖类和脂肪的变化曲线。下列分析正确的是

    A.干重相等的可溶性糖和脂肪,所贮存的能量大致相同

    B.种子发育过程中,由于可溶性糖更多地转变为脂肪,种子需要的N增加

    C.种子萌发时,脂肪酶的活性很高

    D.种子萌发时,脂肪转变为可溶性糖,说明可溶性糖是种子生命活动的直接能源物质

     【第 7 题】 【题型】:单选题 【章节】:第3节 细胞中的糖类和脂质  
    【特大】 【较大】 【适中】 【较小】 【特小】 【显示答案】  【关闭答案】    ﹤﹤上题    下题﹥﹥      CLOSE  

     

    下图是油菜种子在发育和萌发过程中,糖类和脂肪的变化曲线。下列分析正确的是

    A.干重相等的可溶性糖和脂肪,所贮存的能量大致相同

    B.种子发育过程中,由于可溶性糖更多地转变为脂肪,种子需要的N增加

    C.种子萌发时,脂肪酶的活性很高

    D.种子萌发时,脂肪转变为可溶性糖,说明可溶性糖是种子生命活动的直接能源物质

    8.

    医生给低血糖休克病人注射50%葡萄糖,其主要目的是

    A.供给能量  B.供给全面营养C.维持细胞的渗透压D. 供给水分

     【第 8 题】 【题型】:单选题 【章节】:第3节 细胞中的糖类和脂质  
    【特大】 【较大】 【适中】 【较小】 【特小】 【显示答案】  【关闭答案】    ﹤﹤上题    下题﹥﹥      CLOSE  

     

    医生给低血糖休克病人注射50%葡萄糖,其主要目的是

    A.供给能量  B.供给全面营养C.维持细胞的渗透压D. 供给水分

    9.

    纤维素是一种多糖,在下列哪一种生物中最容易找到 (   )

      A.草履虫    B.芹菜    C.变形虫    D.水螅

     【第 9 题】 【题型】:单选题 【章节】:第3节 细胞中的糖类和脂质  
    【特大】 【较大】 【适中】 【较小】 【特小】 【显示答案】  【关闭答案】    ﹤﹤上题    下题﹥﹥      CLOSE  

     

    纤维素是一种多糖,在下列哪一种生物中最容易找到 (   )

      A.草履虫    B.芹菜    C.变形虫    D.水螅

    10.

    某同学在上体育课时突然晕倒,医生在其静脉内注射50%的葡萄糖溶液,这样做的主要目的是(   ) 

    A.供给水分     B.供给全面营养    C.供给能源     D.维持细胞渗透压

     【第 10 题】 【题型】:单选题 【章节】:第3节 细胞中的糖类和脂质  
    【特大】 【较大】 【适中】 【较小】 【特小】 【显示答案】  【关闭答案】    ﹤﹤上题    下题﹥﹥      CLOSE  

     

    某同学在上体育课时突然晕倒,医生在其静脉内注射50%的葡萄糖溶液,这样做的主要目的是(   ) 

    A.供给水分     B.供给全面营养    C.供给能源     D.维持细胞渗透压

    二、简答题:共有 2 小题,请按各小题要求作答。
    11.

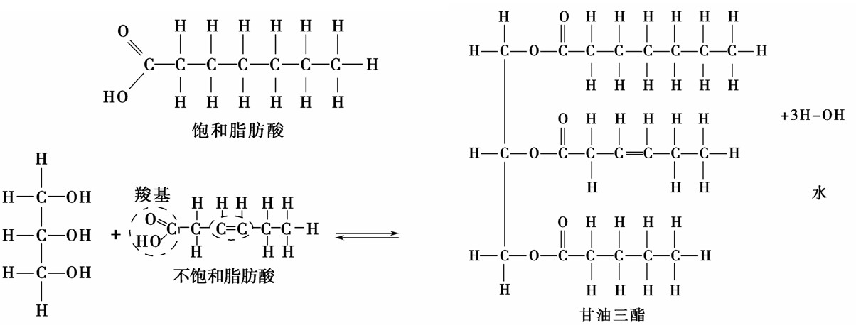
    下图为甘油和脂肪酸形成甘油三酯的反应过程,请回答问题。

    (1)由上述反应式可看出:每分子甘油三酯由________分子甘油与________分子脂肪酸结合而成,该过程中可以产生________分子水。

    (2)脂肪酸是长的________链,其一端是________,与不饱和脂学科网(www.zxxk.com)--国内最大的教育资源门户,提供试卷、教案、课件、论文、素材及各类教学资源下载,还有大量而丰富的教学相关资讯!肪酸相比饱和脂肪酸的分子特点是________________________________________。

    (3)不饱和脂肪酸中有一些是人体不能合成的,必须从________中摄取,被称为________,如亚油酸是公认的此类脂肪酸,________(植物油脂、动物油脂)中亚油酸含量较高。

    (4)在日常生活中,你会发现身体肥胖的人较正常人往往夏天更怕热,其主要原因是________________学科网(www.zxxk.com)--国内最大的教育资源门户,提供试卷、教案、课件、论文、素材及各类教学资源下载,还有大量而丰富的教学相关资讯!___________。

     【第 11 题】 【题型】:简答题 【章节】:第3节 细胞中的糖类和脂质  
    【特大】 【较大】 【适中】 【较小】 【特小】 【显示答案】  【关闭答案】    ﹤﹤上题    下题﹥﹥      CLOSE  

     

    下图为甘油和脂肪酸形成甘油三酯的反应过程,请回答问题。

    (1)由上述反应式可看出:每分子甘油三酯由________分子甘油与________分子脂肪酸结合而成,该过程中可以产生________分子水。

    (2)脂肪酸是长的________链,其一端是________,与不饱和脂学科网(www.zxxk.com)--国内最大的教育资源门户,提供试卷、教案、课件、论文、素材及各类教学资源下载,还有大量而丰富的教学相关资讯!肪酸相比饱和脂肪酸的分子特点是________________________________________。

    (3)不饱和脂肪酸中有一些是人体不能合成的,必须从________中摄取,被称为________,如亚油酸是公认的此类脂肪酸,________(植物油脂、动物油脂)中亚油酸含量较高。

    (4)在日常生活中,你会发现身体肥胖的人较正常人往往夏天更怕热,其主要原因是________________学科网(www.zxxk.com)--国内最大的教育资源门户,提供试卷、教案、课件、论文、素材及各类教学资源下载,还有大量而丰富的教学相关资讯!___________。

    12.

    科学家发现一种叫“熊虫”的动物,能耐受-271 ℃的冰冻数小时(这时它的代谢率几乎可降至0),此时,它的体内会大量产生一种叫做海藻糖的二糖。实验证明该动物体液中的海藻糖可以保护组织细胞,使组织细胞避免受到低温造成的损伤。

    (一)对于“熊虫”种群而言,具有产生大量海藻糖,耐受低温这种特征是________________的结果;对“熊虫”个体而言,具有这种特征的根本原因是_______________________________________________。

    (二)为了探究海藻糖对普通哺乳动物组织细胞是否也具有上述保护作用,请你分析并设计实验过程。

    (1)实验材料

    ①海藻糖;②细胞培养液及其他相关材料;③适量哺乳动物细胞。为了确保实验的科学性和准确性,从化学组成及生理功能看,该细胞应具有_____________________________________的特点。

    (2)操作过程

    ①取适量哺乳动物细胞,等分成甲、乙两组,向甲组细胞中添加_________________,向乙组细胞中添加_____________________。

    ②________________________________________________________________。

    ③观察并记录两组细胞的生活状况。

    (3)预期结果及相应结论

    如果实验结果是___________________________________________________________,则说明该海藻糖在低温下对普通哺乳动物组织细胞具有保护作用。

     【第 12 题】 【题型】:简答题 【章节】:第3节 细胞中的糖类和脂质  
    【特大】 【较大】 【适中】 【较小】 【特小】 【显示答案】  【关闭答案】    ﹤﹤上题    下题﹥﹥      CLOSE  

     

    科学家发现一种叫“熊虫”的动物,能耐受-271 ℃的冰冻数小时(这时它的代谢率几乎可降至0),此时,它的体内会大量产生一种叫做海藻糖的二糖。实验证明该动物体液中的海藻糖可以保护组织细胞,使组织细胞避免受到低温造成的损伤。

    (一)对于“熊虫”种群而言,具有产生大量海藻糖,耐受低温这种特征是________________的结果;对“熊虫”个体而言,具有这种特征的根本原因是_______________________________________________。

    (二)为了探究海藻糖对普通哺乳动物组织细胞是否也具有上述保护作用,请你分析并设计实验过程。

    (1)实验材料

    ①海藻糖;②细胞培养液及其他相关材料;③适量哺乳动物细胞。为了确保实验的科学性和准确性,从化学组成及生理功能看,该细胞应具有_____________________________________的特点。

    (2)操作过程

    ①取适量哺乳动物细胞,等分成甲、乙两组,向甲组细胞中添加_________________,向乙组细胞中添加_____________________。

    ②________________________________________________________________。

    ③观察并记录两组细胞的生活状况。

    (3)预期结果及相应结论

    如果实验结果是___________________________________________________________,则说明该海藻糖在低温下对普通哺乳动物组织细胞具有保护作用。

    注:收藏数大于显示数,说明某些记录已删除或禁用   共计:12 条记录  页次:1/1 每页:50 条      1   
    >>> 申请友情链接 >>>>
    洪江市智慧教育云平台中学生物教学中学生物学生物学教学全国中小学教师继续教育网全国青少年科技创新大赛平台湖南省青少年科技创新大赛平台植物智春晓工作室芙蓉中学

    亚雯名师工作室—中学生物 Copyright @ 2025 - 2030 All rights reserved.  Backstage System 
    ICP备案:ICP备00000000号 联系人: 电话:0745-7736289 E-MAIL:0745001@163.COM 地址:洪江市芙蓉中学