| 加入收藏 | 学校官网 | 田径运动会 | 站点二维码 【我要留言】 
用户登录

账  号:
密  码:
    

  • 电子邮件:0745001@163.COM
  • 即时通讯:QQ-164247110
  • 联系地址:洪江市芙蓉中学
  • 考试练习
    在线练习  在线考试
    手工出卷  收藏试题
    综合搜索
    请选择类别
     
    章节导航
    单选题  多选题
    判断题  简答题
    临时试卷正在编辑中……
      试题中心  
      题型:单选题   难度值:1 [0]  知识点:第5节 生态系统的稳定性 
    【试题】

    51

    某地的一个生态种植养殖大棚里,水底养螃蟹,水面漂浮着无土栽培的某种蔬菜,而水面上方,黄瓜藤枝枝蔓蔓。蔬菜和黄瓜生长所需的肥料就来自螃蟹的排泄物。同时,大棚里种了一种特殊的辣椒,能起到驱虫的作用。下列相关叙述正确的是
    A.只需输入太阳能即可维持该生态系统的稳定
    B.特殊辣椒的驱虫作用依赖于生态系统的信息传递
    C.蔬菜和黄瓜从螃蟹的排泄物中获得养分,所以蔬菜和黄瓜也可作为分解者
    D.该生态系统中螃蟹、蔬菜、黄瓜构成了生物群落,体现了群落的垂直结构

     【第 9366 题】 【题型】:单选题 【章节】:第5节 生态系统的稳定性  
    【特大】 【较大】 【适中】 【较小】 【特小】 【显示答案】  【关闭答案】    ﹤﹤上题    下题﹥﹥      CLOSE  

     

    某地的一个生态种植养殖大棚里,水底养螃蟹,水面漂浮着无土栽培的某种蔬菜,而水面上方,黄瓜藤枝枝蔓蔓。蔬菜和黄瓜生长所需的肥料就来自螃蟹的排泄物。同时,大棚里种了一种特殊的辣椒,能起到驱虫的作用。下列相关叙述正确的是
    A.只需输入太阳能即可维持该生态系统的稳定
    B.特殊辣椒的驱虫作用依赖于生态系统的信息传递
    C.蔬菜和黄瓜从螃蟹的排泄物中获得养分,所以蔬菜和黄瓜也可作为分解者
    D.该生态系统中螃蟹、蔬菜、黄瓜构成了生物群落,体现了群落的垂直结构

     
      题型:单选题   难度值:1 [0]  知识点:第5节 生态系统的稳定性 
    【试题】

    52

    新疆某地在蝗灾发生时特邀请来一批养鸭户,把几十万只鸭子放养到蝗灾严重的草原上,收到比喷洒农药杀灭蝗虫好得多的效果。下列有关叙述中不正确的是
    A.利用农药灭虫,农药对蝗虫起选择作用,生存下来的蝗虫都是抗药性较强的
    B.利用鸭子消灭蝗虫,根本目的是调整生态系统能量流动关系,使能量更多地流向鸭子
    C.利用鸭子消灭蝗虫,从生态系统的成分看,鸭子是次级消费者,鸭子与草原上的牛、羊的关系是种间互助
    D.利用鸭子消灭蝗虫不仅可以获得较好的经济效益,而且还能减轻污染、保护其他生物

     【第 9365 题】 【题型】:单选题 【章节】:第5节 生态系统的稳定性  
    【特大】 【较大】 【适中】 【较小】 【特小】 【显示答案】  【关闭答案】    ﹤﹤上题    下题﹥﹥      CLOSE  

     

    新疆某地在蝗灾发生时特邀请来一批养鸭户,把几十万只鸭子放养到蝗灾严重的草原上,收到比喷洒农药杀灭蝗虫好得多的效果。下列有关叙述中不正确的是
    A.利用农药灭虫,农药对蝗虫起选择作用,生存下来的蝗虫都是抗药性较强的
    B.利用鸭子消灭蝗虫,根本目的是调整生态系统能量流动关系,使能量更多地流向鸭子
    C.利用鸭子消灭蝗虫,从生态系统的成分看,鸭子是次级消费者,鸭子与草原上的牛、羊的关系是种间互助
    D.利用鸭子消灭蝗虫不仅可以获得较好的经济效益,而且还能减轻污染、保护其他生物

     
      题型:单选题   难度值:1 [0]  知识点:第5节 生态系统的稳定性 
    【试题】

    53

    下列关于生态系统稳定性的叙述,错误的是
    A.在一块牧草地上播种杂草形成杂草地后,其抵抗力稳定性提高
    B.在一块牧草地上通过管理提高某种牧草的产量后,其抵抗力稳定性提高
    C.在一块牧草地上栽种乔木形成树林后,其恢复力稳定性下降
    D.一块弃耕后的牧草地上形成灌木林后,其抵抗力稳定性提高

     【第 9364 题】 【题型】:单选题 【章节】:第5节 生态系统的稳定性  
    【特大】 【较大】 【适中】 【较小】 【特小】 【显示答案】  【关闭答案】    ﹤﹤上题    下题﹥﹥      CLOSE  

     

    下列关于生态系统稳定性的叙述,错误的是
    A.在一块牧草地上播种杂草形成杂草地后,其抵抗力稳定性提高
    B.在一块牧草地上通过管理提高某种牧草的产量后,其抵抗力稳定性提高
    C.在一块牧草地上栽种乔木形成树林后,其恢复力稳定性下降
    D.一块弃耕后的牧草地上形成灌木林后,其抵抗力稳定性提高

     
      题型:单选题   难度值:1 [0]  知识点:第5节 生态系统的稳定性 
    【试题】

    54

    生态系统的一个重要特点是它常常趋向于稳态。如图①代表载畜量对草原中生产者的净生产量的影响(净生产量即生产者光合作用所制造的有机物总量与自身呼吸消耗量的差值)。图②表示生殖数量、死亡数量与种群大小的关系。下列说法错误的是
     YAWEN OFFICE
    A.从图①可知,C点以后生态系统的稳态将受到破坏
    B.从①B可知,适量的放牧不会破坏草原生态系统的稳态
    C.从图②可知,P点时种群的年龄结构为衰退型
    D.从图②可知,F点表示该环境所能维持的种群最大数量

     【第 9363 题】 【题型】:单选题 【章节】:第5节 生态系统的稳定性  
    【特大】 【较大】 【适中】 【较小】 【特小】 【显示答案】  【关闭答案】    ﹤﹤上题    下题﹥﹥      CLOSE  

     

    生态系统的一个重要特点是它常常趋向于稳态。如图①代表载畜量对草原中生产者的净生产量的影响(净生产量即生产者光合作用所制造的有机物总量与自身呼吸消耗量的差值)。图②表示生殖数量、死亡数量与种群大小的关系。下列说法错误的是
     YAWEN OFFICE
    A.从图①可知,C点以后生态系统的稳态将受到破坏
    B.从①B可知,适量的放牧不会破坏草原生态系统的稳态
    C.从图②可知,P点时种群的年龄结构为衰退型
    D.从图②可知,F点表示该环境所能维持的种群最大数量

     
      题型:单选题   难度值:1 [0]  知识点:第5节 生态系统的稳定性 
    【试题】

    55

    如图表示两个小型生态系统在不同季节群落的物种丰富度,对该图分析正确的是
    YAWEN OFFICE 
    A.甲生态系统的抵抗力稳定性小于乙
    B.一年中流经甲生态系统的总能量大于乙
    C.大火过后甲生态系统恢复原貌所需的时间大于乙
    D.调查生态系统中土壤小动物的丰富度可利用小动物的趋光性、趋热性用诱虫器采集小动物

     【第 9360 题】 【题型】:单选题 【章节】:第5节 生态系统的稳定性  
    【特大】 【较大】 【适中】 【较小】 【特小】 【显示答案】  【关闭答案】    ﹤﹤上题    下题﹥﹥      CLOSE  

     

    如图表示两个小型生态系统在不同季节群落的物种丰富度,对该图分析正确的是
    YAWEN OFFICE 
    A.甲生态系统的抵抗力稳定性小于乙
    B.一年中流经甲生态系统的总能量大于乙
    C.大火过后甲生态系统恢复原貌所需的时间大于乙
    D.调查生态系统中土壤小动物的丰富度可利用小动物的趋光性、趋热性用诱虫器采集小动物

     
      题型:单选题   难度值:1 [0]  知识点:第5节 生态系统的稳定性 
    【试题】

    56

    有些人工林面积大,构成的树种单一,树木年龄和高度比较接近,树冠密集,这种森林被称为“绿色沙漠”。以下分析不正确的是
    A.植物种类单一,无法提供多样的食物或栖息环境,因而动物种类也十分稀少
    B.密集的树冠遮挡了阳光,使林下缺乏灌木层和地表植被,群落结构简单
    C.营养结构简单,食物链短,生态系统的稳态容易维持
    D.生物多样性水平低,缺少天敌对虫害的控制,易爆发虫害

     【第 9358 题】 【题型】:单选题 【章节】:第5节 生态系统的稳定性  
    【特大】 【较大】 【适中】 【较小】 【特小】 【显示答案】  【关闭答案】    ﹤﹤上题    下题﹥﹥      CLOSE  

     

    有些人工林面积大,构成的树种单一,树木年龄和高度比较接近,树冠密集,这种森林被称为“绿色沙漠”。以下分析不正确的是
    A.植物种类单一,无法提供多样的食物或栖息环境,因而动物种类也十分稀少
    B.密集的树冠遮挡了阳光,使林下缺乏灌木层和地表植被,群落结构简单
    C.营养结构简单,食物链短,生态系统的稳态容易维持
    D.生物多样性水平低,缺少天敌对虫害的控制,易爆发虫害

     
      题型:简答题   难度值:1 [0]  知识点:第5节 生态系统的稳定性 
    【试题】

    57

    根据下列材料,回答问题:
    材料一 红树林是生长在热带、亚热带海岸潮间带特有的植被,具有丰富的动植物资源。广东是我国红树林资源最丰富的省份之一,其中雷州半岛和深圳湾的红树林分布区被列为国家级红树林自然保护区,红树林的保护和发展也被列为广东建设林业生态省的八大工程之一。
    材料二 2004年12月,印度洋地震引起的海啸导致十多万人死亡,几百万人无家可归。但因为有茂密的红树林,印度泰米尔纳德邦一个渔村里的172户人家在这次海啸中幸免于难。
    (1)红树林的________稳定性较强而________稳定性较弱,原因是红树林_________________________________________________________。
    (2)海啸过后,灾区沿海的多种生态系统遭到了毁灭性破坏,短期内难以恢复。这一事实说明任何生态系统的________都是有限的。
    (3)在海啸中被海水浸泡过的农田为什么不宜直接种植农作物?从生物学角度分析其原因是__________________________________________________________________。

     【第 9342 题】 【题型】:简答题 【章节】:第5节 生态系统的稳定性  
    【特大】 【较大】 【适中】 【较小】 【特小】 【显示答案】  【关闭答案】    ﹤﹤上题    下题﹥﹥      CLOSE  

     

    根据下列材料,回答问题:
    材料一 红树林是生长在热带、亚热带海岸潮间带特有的植被,具有丰富的动植物资源。广东是我国红树林资源最丰富的省份之一,其中雷州半岛和深圳湾的红树林分布区被列为国家级红树林自然保护区,红树林的保护和发展也被列为广东建设林业生态省的八大工程之一。
    材料二 2004年12月,印度洋地震引起的海啸导致十多万人死亡,几百万人无家可归。但因为有茂密的红树林,印度泰米尔纳德邦一个渔村里的172户人家在这次海啸中幸免于难。
    (1)红树林的________稳定性较强而________稳定性较弱,原因是红树林_________________________________________________________。
    (2)海啸过后,灾区沿海的多种生态系统遭到了毁灭性破坏,短期内难以恢复。这一事实说明任何生态系统的________都是有限的。
    (3)在海啸中被海水浸泡过的农田为什么不宜直接种植农作物?从生物学角度分析其原因是__________________________________________________________________。

     
      题型:单选题   难度值:1 [0]  知识点:第5节 生态系统的稳定性 
    【试题】

    58

    下列有关干旱区域的生物与环境之间关系的叙述,正确的是
    A.干旱区域的生态系统食物链少,抵抗力稳定性强
    B.干旱区域的生态系统自动调节能力弱,恢复力稳定性强
    C.经干旱环境长期诱导,生物体往往发生耐旱突变
    D.种群密度是限制干旱区域生物种群数量增长的关键生态因素

     【第 9341 题】 【题型】:单选题 【章节】:第5节 生态系统的稳定性  
    【特大】 【较大】 【适中】 【较小】 【特小】 【显示答案】  【关闭答案】    ﹤﹤上题    下题﹥﹥      CLOSE  

     

    下列有关干旱区域的生物与环境之间关系的叙述,正确的是
    A.干旱区域的生态系统食物链少,抵抗力稳定性强
    B.干旱区域的生态系统自动调节能力弱,恢复力稳定性强
    C.经干旱环境长期诱导,生物体往往发生耐旱突变
    D.种群密度是限制干旱区域生物种群数量增长的关键生态因素

     
      题型:单选题   难度值:1 [0]  知识点:第5节 生态系统的稳定性 
    【试题】

    59

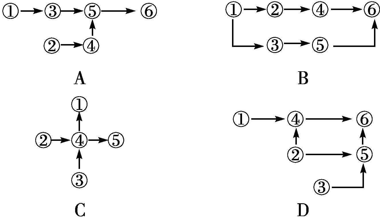
    下列食物网中,其营养结构最不易被破坏的是
     YAWEN OFFICE

     【第 9340 题】 【题型】:单选题 【章节】:第5节 生态系统的稳定性  
    【特大】 【较大】 【适中】 【较小】 【特小】 【显示答案】  【关闭答案】    ﹤﹤上题    下题﹥﹥      CLOSE  

     

    下列食物网中,其营养结构最不易被破坏的是
     YAWEN OFFICE

     
      题型:单选题   难度值:1 [0]  知识点:第5节 生态系统的稳定性 
    【试题】

    60

    某生物兴趣小组的同学用河水、池泥、水藻、植食性小鱼、广口瓶、凡士林等材料制作了3个生态瓶(如下图所示)。下列说法中错误的是
    YAWEN OFFICE 
    A.甲瓶中的小鱼很快死亡是因为瓶内分解者数量过少
    B.乙瓶中的生物存活的时间相对较长
    C.丙瓶中的分解者主要存在于河水及池泥中
    D.若想维持生态平衡,丙瓶不应放在黑暗中

     【第 9339 题】 【题型】:单选题 【章节】:第5节 生态系统的稳定性  
    【特大】 【较大】 【适中】 【较小】 【特小】 【显示答案】  【关闭答案】    ﹤﹤上题    下题﹥﹥      CLOSE  

     

    某生物兴趣小组的同学用河水、池泥、水藻、植食性小鱼、广口瓶、凡士林等材料制作了3个生态瓶(如下图所示)。下列说法中错误的是

    YAWEN OFFICE 
    A.甲瓶中的小鱼很快死亡是因为瓶内分解者数量过少
    B.乙瓶中的生物存活的时间相对较长
    C.丙瓶中的分解者主要存在于河水及池泥中
    D.若想维持生态平衡,丙瓶不应放在黑暗中

     
    共计:75 条记录 页次:6/8 每页:10 条     9 7 [4][56 [7][8]:  
    >>> 申请友情链接 >>>>
    洪江市智慧教育云平台中学生物教学中学生物学生物学教学全国中小学教师继续教育网全国青少年科技创新大赛平台湖南省青少年科技创新大赛平台植物智春晓工作室芙蓉中学

    亚雯名师工作室—中学生物 Copyright @ 2025 - 2030 All rights reserved.  Backstage System 
    ICP备案:ICP备00000000号 联系人: 电话:0745-7736289 E-MAIL:0745001@163.COM 地址:洪江市芙蓉中学